
SpeedPAK一直致力于提升操作流程、整合全球供应商资源、维持跨境电商业务的稳定运行,希望将新冠疫情对物流带来的不利影响降至最低,与卖家一起携手抗疫。为了帮助卖家积极应对国际物流的挑战,eBay带着SpeedPAK运价调整的通知和奖励活动来啦!
SpeedPAK运价调整
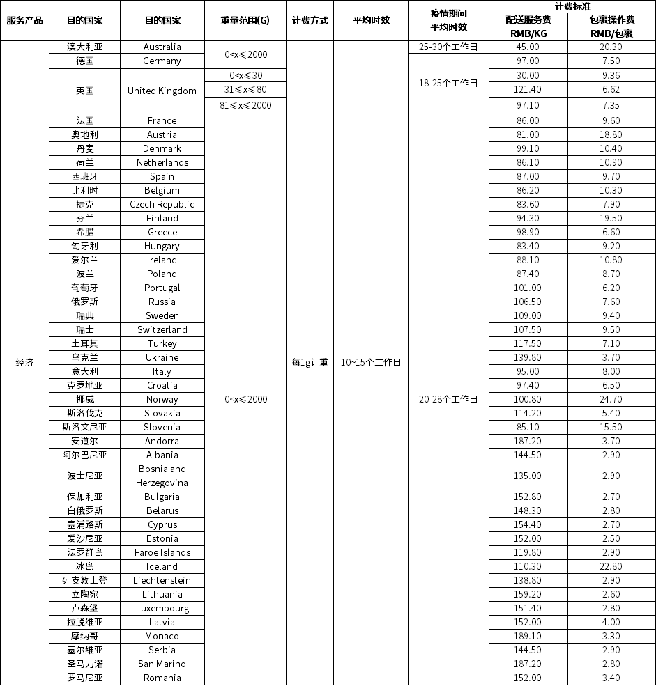
随着新冠肺炎疫情在全球范围内迅速扩大,行业运输资源严重受限,运输成本也相应增加。受此影响,自2020年4月10日起,橙联将调整SpeedPAK跨境物流解决方案从中国内地及香港地区出口的运价,以下请见各路向具体调整情况:
我们诚挚地感谢eBay卖家对SpeedPAK的信赖与支持!还要告诉大家一个好消息,SpeedPAK特推出物流奖励活动,与各位卖家朋友携手共度难关。
SpeedPAK奖励活动
自2020年4月10日起,橙联将调整SpeedPAK跨境物流解决方案从中国大陆及香港地区出口的运价。与此同时,为帮助卖家在一定程度缓解运输成本上涨压力,eBay制定了以下SpeedPAK物流奖励活动。
01、奖励细则如下
活动时间:
中国时间2020年4月10日 – 2020年4月30日 (以Acceptance scan时间为准)
02、活动要求
本活动针对eBay账号注册在中国大陆、香港、台湾、新加坡、泰国、马来西亚、印度尼西亚、菲律宾、越南地区的卖家账号,且从中国大陆及香港地区发货的eBay卖家
03、活动规则
1. 物品所在地设置为中国大陆或香港地区;
2. 运费奖励:
3. 奖励将根据单票货物“所设置的承诺交货时间(promised handling time)”及“接收扫描时间(A-Scan timestamp)”来计算奖励的给付比例;
a) 对于承诺交货时间(promised handling time)小于等于2天的订单:
✔ 如接收扫描时间(A-Scan timestamp)早于承诺交货时间的,按照100%比例给付奖励
✔ 如接收扫描时间(A-Scan timestamp)晚于承诺交货时间但不超过承诺交货时间加1天的,按照50%比例给付奖励
✔ 如接收扫描时间(A-Scan timestamp)晚于承诺交货时间且超过承诺交货时间加1天的,则不给予任何奖励
b) 对于如承诺交货时间(promised handling time)大于2天但小于等于5天的订单:
✔ 如接收扫描时间(A-Scan timestamp)早于承诺交货时间的,按照75%比例给付奖励
✔ 如接收扫描时间(A-Scan timestamp)晚于承诺交货时间但不超过承诺交货时间加1天的,按照37.5%比例给付奖励
✔ 如接收扫描时间(A-Scan timestamp)晚于承诺交货时间且超过承诺交货时间加1天的,则不给予任何奖励
c) 对于承诺交货时间(promised handling time)大于5天的交易,则不给予任何奖励
4. 原“2020年3至4月SpeedPAK美国标准服务的运费奖励活动”截止到2020年4月9日;
原文链接:
https://exportnews.ebay.com.hk/Home/updates/308
5. 运费奖励会在活动结束后以橙联礼品卡的方式进行发放;
6. 橙联礼品卡可用来兑换SpeedPAK各路向物流服务。如:每3000点橙联礼品卡积点可用来兑换一次从中国大陆地区发往美国,重量约150克的标准型服务。
具体橙联礼品卡使用规则请参考:
https://www.orangeconnex.com/detail01?id=69;
7. 活动统计以eBay-eDIS 后台统计资料为准, eBay有权提前结束运费奖励活动或以其它方式发放活动奖励;
8. 参加者的参加活动 eBay 账户及其其他 eBay 账户均必须保持良好运作,于活动期间必需维持 eBay 全球卖家的相关标准,避免被暂停使用或被冻结,或逾期缴费,否则 eBay 有权取消参加资格或作其他决定;
9. eBay在法律允许的范围内保留对本活动的解释权;
本活动结束后eBay将抽查卖家在活动期间相关交易的跟踪号,对其真实性进行核实。如果有欺诈行为,一经发现,eBay将保留取消该卖家的获得奖励的资格。 (来源:eBay)
以上内容属作者个人观点,不代表雨果网立场!如有侵权,请联系我们。