55%的美国买家在网上购物时会选择直接到亚马逊上买。那么,在最受欢迎的电商平台上销售就是获得最大利润的关键吗?
不完全是这样。
像亚马逊这样的巨大平台可以提供很高的知名度,但其他电商平台也能给你提供同样重要的优势。像沃尔玛这样规模较小的平台,竞争更少,这能使卖家更容易地吸引到买家;另外,独立站能让卖家控制自有品牌的销售和客户体验,从而产生更多的销售。
因此,获得更大利润的关键,不是在正确的平台上销售——而是在多个平台上销售,并充分利用好每一个平台。
为了检验这个理论,近日美国知名商业媒体《Business 2 community》分析了1160个电商卖家的销售情况。通过比较他们的营销渠道数量与收入,他们得出以下结论:使用3个或更多销售渠道的卖家比使用更少渠道的卖家获得了更多的销售额。
因此,卖家可以通过在多个符合其企业独特需求的渠道上销售,从而覆盖更多买家,并最大化销售收入。
接下来,让我们深入探讨一下该研究的数据,看看销售渠道数量对收入的影响究竟是怎样的?
为了衡量销售渠道数量对收入的唯一影响,该研究控制了可能影响收入的外部因素。另外,卖家库存规模将作为对收入影响的混合因素。这里用产品数量来衡量卖家的库存规模。
人们的基本设想
一般认为,库存的大小与销售渠道数量是相关联的。一个卖家的库存广度或深度可能会超过单一渠道的需求,或者他们的一些产品类别可能不适合在某些渠道销售。因此,他们可能更倾向于将他们的产品分销到更多渠道。如果是这种情况,我们能发现,随着库存规模的增加,销售渠道的数量就会增加。
大库存的卖家似乎也更有可能产生更高收入,毕竟他们可卖的东西要多得多。如果一个卖家提供的价格和另一个卖家一样,但是前一个卖家的存货是后者的十倍,则前者自然可以完成更多的订单并获得更多的收入。
因此,使用更多销售渠道并不一定是带来更大收入的原因。销售额的增加可能是由于卖家的产品数量所致。
但是我们发现:
库存规模和销售渠道数量之间的关系并不存在。
拥有各种库存规模的卖家都使用多种渠道。下图说明了该研究根据产品数量来划分存货规模大小的方法:(1-705个产品的归为小库存规模,以此类推)
在该研究的数据中,1160个卖家中最小型库存规模的产品有分布在多达13个不同的渠道上。而对于所有的库存规模来说,平均渠道数量也大致相同:在4-5个之间。另外,营收也与库存规模没有关联,因为中型库存规模的卖家销售额最高。(如下图)
研究测量销售渠道数量对每种库存规模(小、中、大)销售额的影响。通过隔离库存规模这个因素,我们就可以测量渠道数量对收入的唯一影响。
总之,该研究比较了库存规模在同一类型下的卖家的渠道使用数与收入的关系,以下是其研究方法的简要细分:
1、对于每种库存规模分组,计算使用1-2个渠道的卖家平均销售收入。
2、计算使用3个或更多(简称3+)渠道的卖家平均收入。
3、确定使用3+渠道卖家的收入与使用1-2个渠道卖家收入的百分比。
将渠道使用数与所有卖家的收入进行比较则相对较简单——即按照渠道数量从最小到最大的顺序排列所有卖家,然后按照以上1-3步骤进行操作。
所以,更多的销售渠道,非常重要!
我们的数据分析结果与预测是一致的——使用更多的销售渠道与更大的收入是挂钩的。这个结果不仅适用于每一种库存规模,也适用于所有的卖家。
库存规模<706个产品的卖家
对于小库存的卖家来说,平均使用3个或更多渠道的卖家收入要比只使用1-2个渠道的卖家高出158.69%,如下图:
库存规模715-3156个产品的卖家
对于中等规模的卖家来说,平均使用3个或更多渠道的卖家收入要比使用1-2个渠道的卖家高出323.53%。
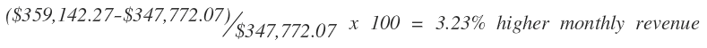
库存在3169 – 612539个产品的卖家
对于大库存卖家来说,平均使用3个或更多渠道的卖家收入要比使用1-2个渠道的卖家高出3.23%。
对于所有库存规模的卖家来说
因此,对于所有卖家而言,平均使用3个或更多渠道的卖家收入要比只使用1-2个渠道的卖家高出143.54%


对于所有库存规模分组的所有卖家来说,使用3个以上渠道的卖家销售额都更高。这些结果表明,不管卖家提供了多少产品,在多个渠道上销售的确能带来更大的收入。
应该如何选择我的销售渠道?
就渠道使用数而言,其数量和质量是一样重要的。
在通过多渠道销售时,只有当卖家谨慎地选择他们的渠道——能满足他们特定业务需求并获得足够流量来增加订单的渠道,他们才可以获得更大的客户参与度和收入。
因此,想要扩大业务、赚取最大利润的卖家,不能忽视主流的电商平台。eBay和亚马逊占据着大量的流量,并已经大体上获得了消费者的信任,所以它们是产生大量销售的最佳选择。
然而,卖家不应该仅仅根据收入目的来选择平台,选择销售渠道也应该考虑到该平台的“功能性”,以下是小型电商平台的一些优势:
• Etsy为特定的利基型卖家群体提供了独特的买家群体。由于更大平台的受众更加主流,所以这些平台也容纳不下这些小众卖家。
• 新蛋网(Newegg)是最受欢迎的电子产品和游戏产品电商平台之一。
• 西尔斯(Sears)仍被许多人视为购买家用电器和服装的目的地。
• 沃尔玛是互联网上流量最大的网站之一,但他们的第三方卖家比亚马逊或eBay更少。
因此,卖家可以通过选择多种渠道来实现利润最大化——不仅是选择高流量的渠道,还包括能服务于卖家与顾客独特需求的平台。
不管你的电商业务是大或小,卖家都需要利用多种渠道来实现利润最大化。使用3个或更多的销售渠道,卖家可以扩大自己的受众范围并促成更多销售,而不是仅仅只在一两个渠道进行销售。
卖家可以专注于那些一般可以取得成功的主流渠道,如亚马逊和eBay,并延伸到那些可以满足他们特定业务需求的小渠道,以此来赚取最大利润。通过结合这两种类型渠道,卖家既可以从主要平台拥挤的流量中受益,也可以从竞争力较低的小渠道来吸引他们的重点买家。
(编译/雨果网 康杰炜)